Silanes & Siliconates
|
Silicone Fluids
|
Silicone Polymers
|
Silicone Rubbers
|
Silicone Resins
|
Fumed Silicas
|
Dimethyl Silicone Fluids
Diethyl Silicone Fluids
Cyclomethicones
Fluoro Silicone Fluids
Hydride Silicone Fluids
Hydroxy Silicone Fluids
Vinyl Silicone Fluids
Phenyl Silicone Fluids
Alkoxy Silicone Fluids
Diffusion Pump Fluids
Amino Silicone Fluids
Epoxy Silicone Fluids
Cyclomethicones
SiSiB® CODE
CHEMICAL NAME
CAS NO.
SiSiB® CF1040
OCTAMETHYLCYCLOTETRASILOXANE (D4)
556-67-2
SiSiB® CF1050
DECAMETHYLCYCLOPENTASILOXANE (D5)
541-02-6
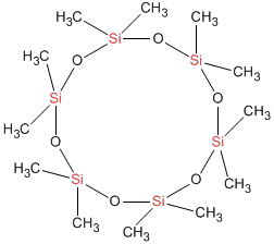
SiSiB® CF1060
DODECAMETHYLCYCLOHEXASILOXANE (D6)
540-97-6
SiSiB® CF1045
D4: 70% and D5: 30%
N.A.
SiSiB® CF1056
D5: 65% and D6: 35%
N.A.
SiSiB® SILANES 2016
SiSiB® SILICONES 2016
SiSiB® FUMED SILICA
SiSiB® SILICONE RUBBER 2016
SiSiB® Silicones for Textile
SiSiB® SILANE DONORS
SiSiB® Silicones Water Repellents
SiSiB® Silicones for Personal Care
SiSiB® Silicone PU Additives
SiSiB® Silicone Coating Additives
SiSiB® Silicone Masterbatch for Plastic
SiSiB® STP (Silane Terminated Polymer)
SiSiB® Silane Crosslinkers
SiSiB® Silane Coupling Agents
Silanes
|
Siliconates
|
Silicone Fluids
|
Silicone Polymer
|
Silicone Rubber
|
OH Polymer
|
Silicone Gum
|
Silicone Resins
|
Fumed Silicas
|
Silicone Emulsions
|
Foam Stabilizers
|
Silicone Surfactants
|
Coating Additives
|
Paint Additives
|
Antifoams
|
Defoaming Agents
|
Leveling Agents
|
Silicone Grease
|
Wetting Agents
|
Antigraffi Additives
|
Textile Finishes
|
Personal Care
|
Agricultural Adjuvant
|
Dispering Agent
|
Release Agent
|
Water Repellent
SiSiB SILICONES
© 1989-2017 SiSiB SILICONES - PCC GROUP. All Rights Reserved.